深海细菌Devosia polycyclovorans MCCC 1K09447具有降解高分子量PAHs如芘和苯并芘的能力
相关菌株:Devosia polycyclovorans Naph2=MCCC 1K09447
背景:多环芳烃是其特征为存在两个或更多苯环的有机污染物。高分子量多环芳烃(HMW-PAHs)由四个或更多芳环组成,表现出显著的环境持久性。此外,高分子量多环芳烃因其高毒性和致癌潜力而备受关注,对生态系统和人类健康构成重大风险。因此,开发有效的去除和降解这些污染物的策略仍然是环境微生物学领域的一个关键焦点。生物修复因其高效、环境友好和可持续性而日益受到学术界关注。该过程涉及微生物将PAHs降解为更简单、毒性更低的化合物,从而防止二次污染,并展现出对不同环境条件(包括极端环境)的适应性,这突显了其显著优势。负责高分子量多环芳烃降解的主要微生物主要是革兰氏阳性细菌,其中分枝杆菌属最为普遍。此外,红球菌属、鞘氨醇单胞菌属、假单胞菌属和解环菌属的菌株也参与其中。利用菲作为唯一碳源的富集培养法,从克马德克海沟采集的沉积物中分离出一株德沃斯氏菌属(Devosia)新种。使用高效液相色谱评估了Naph2对各种PAHs的降解率。通过基因组学、转录组学和比较基因组分析,鉴定了Naph2参与PAH降解的关键基因和代谢途径。这项工作不仅填补了德沃斯氏菌属内的生态学空白,还为海洋PAH污染的生物修复引入了一个具有应用潜力的新物种。
研究成果:利用PAH富集培养法从克马德克海沟沉积物中分离出一株深海新物种细菌,命名为Naph2。经多相分类将其定名为食多环化合物德沃斯氏菌Devosia polycyclovorans (模式菌株 Naph2=MCCC 1K09447)。Naph2展现出降解高分子量PAHs如芘和苯并[a]芘的能力,这是此前在德沃斯氏菌属任何菌株中均未报道过的特性。在5天内,Naph2对300 mg/L芘和200 mg/L苯并[a]芘的降解度分别达到58%和48%。基因组分析揭示了与PAH降解相关的关键基因,包括芳环羟基化双加氧酶、nagAa以及下游基因簇如pht、pob和pca。比较基因组研究表明,Naph2比同属其他物种拥有更多的PAH降解基因,表明它可能通过水平基因转移获得了这些能力。转录组数据显示,编码参与多环芳烃代谢下游中间体3,4-二羟基苯甲酸降解的酶的pcaG和pcaH基因显著上调。这些发现不仅为沃斯氏菌属的生态作用提供了新见解,也凸显了该新物种在PAH生物修复应用中的潜力。
Naph2对芘和苯并[a]芘的降解能力
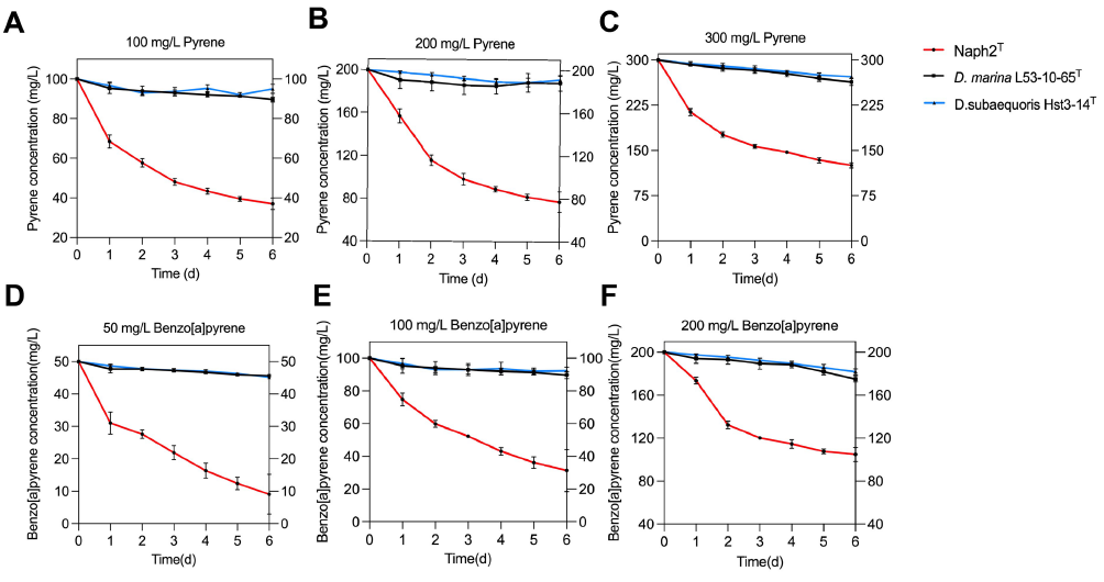
通过监测这些PAHs浓度随时间的变化,评估了 Naph2和相关菌株对芘和苯并[a]芘的降解能力。在芘降解实验中,100、200和300 mg/L浓度的降解遵循相同模式。培养两天后,Naph2对100 mg/L、200 mg/L和300 mg/L浓度的芘降解率超过40%。在接下来的四天里,降解率趋于平稳,降解趋势变得更加平缓。对于100 mg/L芘,Naph2ᵀ实现了63%的降解率(图1A),而对于200 mg/L,降解率为61.5%(图1B),对于300 mg/L芘,降解率略微下降至58%(图1C)。总体而言,降解在最初的1-2天内快速进行,随后进入较慢的阶段。在苯并[a]芘浓度为50 mg/L时,Naph2在第1天显示出38%的降解率,从第2天到第6天保持稳定(图1D)。在100 mg/L时,初始降解率在第1天为26%,前三天变化很小,之后略有增加(图1E)。在200 mg/L时,前两天发生快速降解(34%),随后从第2天到第6天仅增加14%(图1F)。在整个实验过程中,在30 mL MSM培养体系中,Naph2对50 mg/L、100 mg/L和200 mg/L苯并[a]芘的降解率分别达到82%、69%和48%。相比之下,相关菌株D. marina L53-10-65ᵀ 和D. subaequoris HST3-14ᵀ 对芘和苯并[a]芘的降解率均低于10%。

图1. Naph2及近缘菌生物降解效率评估
芘浓度为100 mg/L (A)、200 mg/L (B) 和 300 mg/L (C),以及苯并[a]芘浓度为50 mg/L (D)、100 mg/L (E) 和 200 mg/L (F)
Naph2的基因组分析及参与PAHs降解的功能基因鉴定
菌株Naph2的全基因组大小为4,445,453 bp,G+C含量为61.50 %,包含一条主染色体(3,394,779 bp,G+C含量62.51 %)和3个质粒(图2A)。通过比较KEGG数据库以及NR数据库,注释了23个与PAH降解相关的基因。具体而言,pca基因簇负责将3,4-二羟基苯甲酸分解成更小的分子,进入三羧酸循环,而 pob基因簇将其转化为4-羟基苯甲酸,以进行进一步降解(图2B)。

图2. Naph2ᵀ的基因组分析
(A) Naph2ᵀ 基因组的环形图谱。从内到外,第一圈代表基因组尺度;第2圈是 G + C 偏斜;第3圈是 G + C 含量;第4圈和第7圈是直系同源基因簇;第5圈和第6圈是编码序列、tRNA 和 rRNA 基因的位置。(B) Naph2ᵀ 基因组中与PAHs生物降解相关的功能基因簇预测。
转录组分析以确认参与PAHs降解的基因
与在添加了1%甘油的MSM中生长的对照组相比,芘降解过程中关键基因的表达发生了显著变化。相对于对照组有365个上调基因和356个下调基因。KEGG 通路富集分析显示,差异表达基因主要与精氨酸生物合成、丙氨酸、天冬氨酸和谷氨酸代谢以及亚油酸代谢相关的通路有关。编码3,4-二羟基苯甲酸双加氧酶的pcaG和pcaH基因(负责降解中间代谢物3,4-二羟基苯甲酸,图3)在芘或中间代谢物的诱导下高度表达。此外,我们还鉴定出56个编码假定蛋白的基因,它们显示出显著的上调趋势,可能在芘降解中起重要作用。然而,我们没有鉴定出任何与已报道的芘双加氧酶基因高度相似的基因,这表明在这些上调的基因簇中可能存在功能未知的新芘降解基因。

图3. Naph2降解芘涉及的下游途径
讨论
研究表明芘存在两种不同的下游降解途径,即酞酸途径和儿茶酚途径。在本研究中,转录组分析揭示了基因的差异表达,表明菌株 Naph2ᵀ 的下游降解途径可能经由酞酸进行(图3)。具体而言,pht基因簇促进酞酸转化为3,4-二羟基苯甲酸,随后在pca基因簇的作用下进入TCA循环,进一步降解为更小的分子。差异表达基因表现出明显的上调趋势,特别是那些参与ABC转运蛋白、群体感应通路、胞外多糖生物合成和转录调控的基因,它们可能在芘的分解代谢过程中起关键作用。与先前研究一致,编码ABC转运蛋白的基因的上调可能与底物的转运或无毒小分子代谢物的外排有关。此外,群体感应系统的激活可能增强细胞间的相互作用,从而增强菌株对复杂环境条件的适应性,特别是在存在有毒PAHs的情况下。另外,多糖的生物合成可能通过增强细胞膜的屏障功能或分泌能够降解有毒物质的酶来提高菌株对环境毒素的抗性。
(发表论文)Wang Z, Zhao S, Chen G, Sun S, Liu Y, Chen H, Meng L, Han Z, Zheng D. Biodegradation of high-molecular-weight polycyclic aromatic hydrocarbons by a novel species of the genus Devosia isolated from the deep-sea region of the Kermadec Trench. Front Microbiol. 2025 Jul 14;16:1584496. doi: 10.3389/fmicb.2025.1584496. PMID: 40727556; PMCID: PMC12301985.
如有任何问题,请随时联系liguangyu@tio.org.cn